销售热线:022-68296319 18920087878

      生产:方管矩管、方矩管、镀锌方矩管

      Q235B方矩管,Q355B方矩管、大口径厚壁方矩管

天 津 方 矩 管 厂

首页 >> 公司新闻 >>行业新闻 >> 2024年2月27日天津Q355B方矩管价格
详细内容

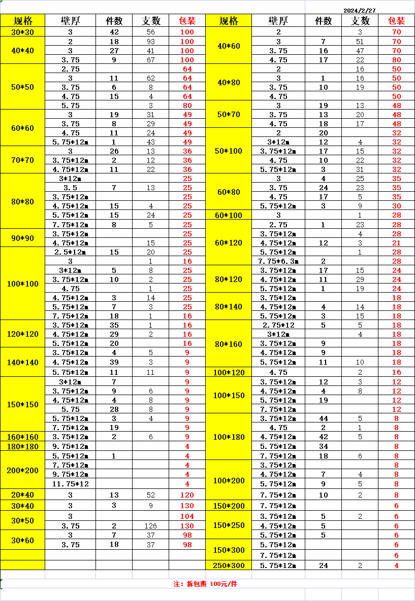
2024年2月27日天津Q355B方矩管价格

2024年2月27日天津Q355B方矩管部分规格价格表

a0dd793b347ff550fdf86b130da5126.png



电话直呼
在线留言
联系我们:
18920087878
暂无内容
还可输入字符250(限制字符250)
技术支持: 天津商务总局 | 管理登录
seo seo